Journal of Systems Engineering and Electronics ›› 2021, Vol. 32 ›› Issue (4): 939-946.doi: 10.23919/JSEE.2021.000080

• CONTROL THEORY AND APPLICATION • Previous Articles     Next Articles

Synthesis identification analysis for closed loop system

Jianhong WANG1,*(), A. Ramirez-Mendoza RICARDO2   

  1. 1 School of Electronic Engineering and Automation, Jiangxi University of Science and Technology, Ganzhou 343100, China
    2 School of Engineering and Sciences, Tecnologico de Monterrey, Monterrey 64849, Mexico
  • Received:2019-12-31 Online:2021-08-18 Published:2021-09-30
  • Contact: Jianhong WANG E-mail:9120180002@jxust.edu.cn
  • About author:|WANG Jianhong was born in 1980. He received his M.S. degree in engineering cybernetics from Yunnan University in 2007. In 2011, he received his Ph.D. degree in College of Automation Engineer from Nanjing University of Aeronautics and Astronautics, China. He is currently a professor in Tecnologico de Monterrey. From 2013 to 2015, he was a postdoctoral fellow in the 28th Research Institute of China Electronics Technology Group Corporation. From June 2016 to September 2016, he was a visiting professor in Informazione Politecnico di Milano. His current research interests include real-time and distributed control, and optimization and system identification. E-mail: 9120180002@jci.edu.cn||RICARDO A. Ramirez-Mendoza was born in 1967. He received his Ph.D. degree from Institut National Polytechnique de Grenoble in1997. He is now a professor of mechatronics-mechanics and the Dean of Research, School of Engineering and Science at the Tecnologico de Monterrey. His main research interests include applications of advanced control to automotive systems. He is the (co-)author of three books, more than 80 papers in top journals and more than 200 international conference papers and more than 1 000 citations. E-mail: ricardo.ramirez@tec.mx

Abstract:

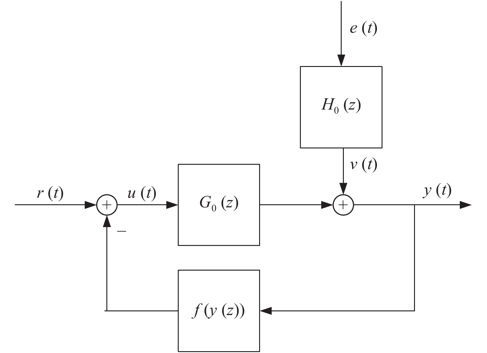
The existing theories for closed loop identification with the linear feedback controller are very mature. To apply the existed theories directly in the control field, we propose a new idea about replacing the original unknown and nonlinear feedback controller with one approximated linear controller, while guaranteeing the equivalent property for the obtained closed loop system. Based on some statistical correlation functions, one condition is derived to show the equivalent property between the approximated linear controller and the original nonlinear controller. The detailed explicit form, corresponding to the approximated linear controller, is also constructed. Furthermore, to give a complete analysis for closed loop identification, the cost function is rewritten as one extended expression, being convenient to understand. Then spectral estimation is introduced to identify the unknown plant in the closed loop system. Finally, the proposed theories are verified by one simulation example.

Key words: synthesis analysis, closed loop system, simplified function, equivalent controller