
Journal of Systems Engineering and Electronics ›› 2025, Vol. 36 ›› Issue (6): 1579-1594.doi: 10.23919/JSEE.2025.000125
• SYSTEMS ENGINEERING • Previous Articles
Received:2025-02-18
Online:2025-12-18
Published:2026-01-07
Contact:
Naiming XIE
E-mail:xzc0525@126.com;xienaiming@nuaa.edu.cn
About author:Supported by:Zhicun XU, Naiming XIE. State of charge estimation for lithium battery based on grey Kalman filter model[J]. Journal of Systems Engineering and Electronics, 2025, 36(6): 1579-1594.
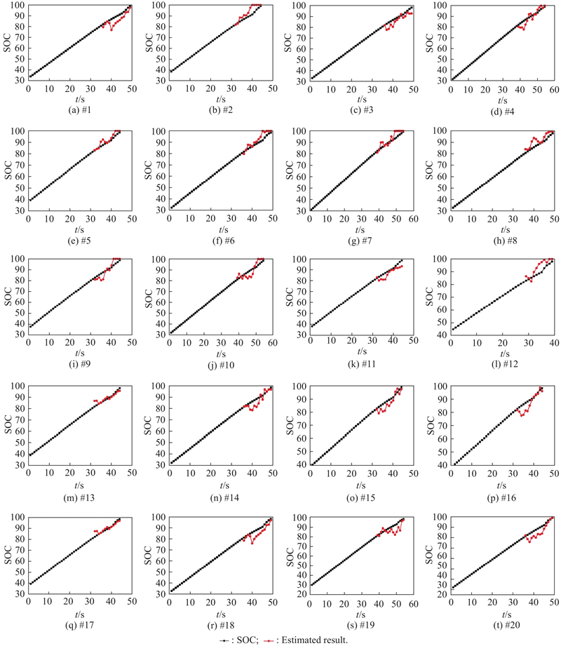
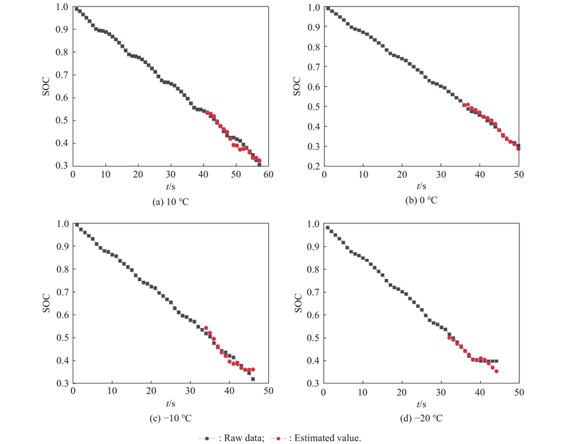
Table 1
SOC estimation results of US06 in different comparison models"
| k | US06 | GKFM | GM | ADGM | NNAR | SVM |
| 44 | 0.504 0 | 0.489 0 | 0.516 0 | |||
| 45 | 0.529 0 | |||||
| 46 | 0.497 0 | |||||
| 47 | 0.474 0 | |||||
| 48 | 0.499 0 | |||||
| 49 | ||||||
| 50 | ||||||
| 51 | 0.430 0 | |||||
| 52 | ||||||
| 53 | ||||||
| 54 | ||||||
| 55 | ||||||
| 56 | 0.318 | |||||
| 57 | ||||||
| 58 | 0.437 | |||||
| 59 | ||||||
| 60 | 0.313 0 | |||||
| 61 | ||||||
| RMSE | — | |||||
| MAPE | — |
Table 3
SOC estimates for different driving cycles"
| Model | HWFETa | HWFETb | UDDS | LA92 | |||||||
| MAPE | RMSE | MAPE | RMSE | MAPE | RMSE | MAPE | RMSE | ||||
| GKFM | 0.030 5 | 0.014 4 | 0.027 1 | 0.014 5 | 0.046 1 | 0.000 5 | 0.038 9 | 0.020 3 | |||
| GM | 0.194 1 | 0.077 9 | 0.194 9 | 0.078 1 | 0.188 0 | 0.076 8 | 0.183 1 | 0.074 8 | |||
| ADGM | 0.162 2 | 0.065 4 | 0.162 4 | 0.065 4 | 0.160 4 | 0.065 6 | 0.124 9 | 0.063 8 | |||
| NNAR | 0.239 5 | 0.102 6 | 0.235 3 | 0.100 8 | 0.289 7 | 0.124 7 | 0.264 7 | 0.114 9 | |||
| SVM | 0.629 3 | 0.263 5 | 0.631 1 | 0.263 8 | 0.587 2 | 0.253 2 | 0.569 6 | 0.246 5 | |||
| 1 |
CHEN M L, CHEN J K, TAN X X, et al Facile self-assembly of sandwich-like Mxene/raphene oxide/nickel– anganese layered double hydroxide nanocomposite for high performance supercapacitor. Journal of Energy Storage, 2021, 44, 103456.
doi: 10.1016/j.est.2021.103456 |
| 2 | LAI X, WENG J H, YANG Y P, et al State of charge estimation of lithium-ion battery pack based on BPNN-EKF-GD-RF algorithm. Journal of Mechanical Engineering, 2025, 61 (12): 251- 265. |
| 3 | LI W F, YANG K, MA H F, et al An online state of charge estimation algorithm for lithium batteries. Journal of Xi’an Jiao Tong University, 2024, 58 (9): 164- 172. |
| 4 |
HE H W, XIONG R, ZHANG X W, et al State-of-charge estimation of the lithium-ion battery using an adaptive extended kalman filter based on an improved Thevenin model. IEEE Trans. on Vehicular Technology, 2011, 60 (4): 1461- 1469.
doi: 10.1109/TVT.2011.2132812 |
| 5 |
FAN K S, WAN Y M, WANG Z, et al Time-efficient identification of lithium-ion battery temperature-dependent OCV-SOC curve using multi-output Gaussian process. Energy, 2023, 268, 126724.
doi: 10.1016/j.energy.2023.126724 |
| 6 | KHAN A A, BAJARIA B. Hybrid energy storage using battery and ultra-capacitor for electric vehicle. Proc. of the 9th International Conference on Power and Energy Systems, 2019: 1–6. |
| 7 |
ZHANG X G, DUAN L C, GONG Q S, et al State of charge estimation for lithium-ion battery based on adaptive extended Kalman filter with improved residual covariance matrix estimator. Journal of Power Sources, 2024, 589, 233758.
doi: 10.1016/j.jpowsour.2023.233758 |
| 8 |
LI J R, HUANG X F, TANG X P, et al The state-of-charge predication of lithium-ion battery energy storage system using data-driven machine learning. Sustainable Energy, Grids and Networks, 2023, 34, 101020.
doi: 10.1016/j.segan.2023.101020 |
| 9 | XUE J W, DU X Z, YANG Z G, et al Extraction of open circuit voltage state of charge curve for lithium-ion batteries based on smoothness optimization. Journal of Tongji University (Natural Science), 2024, 52 (S1): 235- 243. |
| 10 |
XIAO R X, HU Y W, ZHANG W, et al A novel approach to estimate the state of charge for lithium-ion battery under different temperatures incorporating open circuit voltage online identification. Journal of Energy Storage, 2023, 67, 107509.
doi: 10.1016/j.est.2023.107509 |
| 11 |
ZHENG F D, XING Y J, JIANG J C, et al Influence of different open circuit voltage tests on state of charge online estimation for lithium-ion batteries. Applied Energy, 2016, 183, 513- 525.
doi: 10.1016/j.apenergy.2016.09.010 |
| 12 |
LI K, ZHOU P, LU Y F, et al Battery life estimation based on cloud data for electric vehicles. Journal of Power Sources, 2020, 468, 228192.
doi: 10.1016/j.jpowsour.2020.228192 |
| 13 |
XIONG R, HE H W, SUN F C, et al Evaluation on state of charge estimation of batteries with adaptive extended Kalman filter by experiment approach. IEEE Trans. on Vehicular Technology, 2013, 62 (1): 108- 117.
doi: 10.1109/TVT.2012.2222684 |
| 14 |
PAN H H, LV Z Q, LIN W L, et al State of charge estimation of lithium-ion batteries using a grey extended Kalman filter and a novel open-circuit voltage model. Energy, 2017, 138, 764- 775.
doi: 10.1016/j.energy.2017.07.099 |
| 15 | CHEN L P, WU X B, LOPES A M, et al Adaptive state-of-charge estimation of lithium-ion batteries based on square-root unscented Kalman filter. Energy, 2022, 252, 123972. |
| 16 |
SESIDHAR D, BADACHI C, GREEN R C A review on data-driven SOC estimation with Li-ion batteries: implementation methods & future aspirations. Journal of Energy Storage, 2023, 72, 108420.
doi: 10.1016/j.est.2023.108420 |
| 17 |
CHEN L, DING Y H, LIU B H, et al Remaining useful life prediction of lithium-ion battery using a novel particle filter framework with grey neural network. Energy, 2022, 244, 122581.
doi: 10.1016/j.energy.2021.122581 |
| 18 |
WANG S S, XIAO X P, DING Q A novel fractional system grey prediction model with dynamic delay effect for evaluating the state of health of lithium battery. Energy, 2024, 290, 130057.
doi: 10.1016/j.energy.2023.130057 |
| 19 | DENG J L Control problems of grey systems. Systems & control letters, 1982, 1 (5): 288- 294. |
| 20 | LOU G M, LIN W W, WANG Y Z Remaining useful life prediction of supercapacitors based on DMM-EKF. Journal of Mechanical Engineering, 2024, 60 (14): 306- 316. |
| 21 |
YANG J S, FANG W G, CHEN J Y, et al A lithium-ion battery remaining useful life prediction method based on unscented particle filter and optimal combination strategy. Journal of Energy Storage, 2022, 55, 105648.
doi: 10.1016/j.est.2022.105648 |
| 22 | LI J F, WANG L X, LYU C, et al Discharge capacity estimation for Li-ion batteries based on particle filter under multi-operating conditions. Energy, 2015, 86, 638- 648. |
| 23 |
ZHANG Y, CHEN L G H, LI Y, et al A hybrid approach for remaining useful life prediction of lithium-ion battery with adaptive levy flight optimized particle filter and long short-term memory network. Journal of Energy Storage, 2021, 44, 103245.
doi: 10.1016/j.est.2021.103245 |
| 24 |
ZHANG K, ZHAO P, SUN C F, et al Remaining useful life prediction of aircraft lithium-ion batteries based on F-distribution particle filter and kernel smoothing algorithm. Chinese Journal of Aeronautics, 2020, 33 (5): 1517- 1531.
doi: 10.1016/j.cja.2020.01.007 |
| 25 |
HE N, QIAN C, HE L L Short-term prediction of remaining life for lithium-ion battery based on adaptive hybrid model with long short-term memory neural network and optimized particle filter. Journal of Electrochemical Energy Conversion and Storage, 2022, 19 (3): 031004.
doi: 10.1115/1.4053141 |
| 26 |
MIAO Q, XIE L, CUI H J, et al Remaining useful life prediction of lithium-ion battery with unscented particle filter technique. Microelectronics Reliability, 2013, 53 (6): 805- 810.
doi: 10.1016/j.microrel.2012.12.004 |
| 27 |
XUE Z W, ZHANG Y, CHENG C, et al Remaining useful life prediction of lithium-ion batteries with adaptive unscented kalman filter and optimized support vector regression. Neurocomputing, 2020, 376, 95- 102.
doi: 10.1016/j.neucom.2019.09.074 |
| 28 |
MENG J W, YUE M L, DIALLO D A degradation empirical-model-free battery end-of-life prediction framework based on gaussian process regression and kalman filter. IEEE Trans. on Transportation Electrification, 2023, 9 (4): 4898- 4908.
doi: 10.1109/TTE.2022.3209629 |
| 29 |
CHEN D, MENG J H, HUANG H Y, et al An empirical-data hybrid driven approach for remaining useful life prediction of lithium-ion batteries considering capacity diving. Energy, 2022, 245, 123222.
doi: 10.1016/j.energy.2022.123222 |
| 30 | KOLLMEYER P. Panasonic 18650PF Li-ion battery data. https://data.mendeley.com/datasets/wykht8y7tg/1. |
| 31 |
DENG Z W, XU L, LIU H A, et al Prognostics of battery capacity based on charging data and data-driven methods for on-road vehicles. Applied Energy, 2023, 339, 120954.
doi: 10.1016/j.apenergy.2023.120954 |
| [1] | Defeng HE, Jie LUO, Di LIN, Shiming YU. Flexible predictive power-split control for battery-supercapacitor systems of electric vehicles using IVHS [J]. Journal of Systems Engineering and Electronics, 2023, 34(1): 224-235. |
| [2] | Yindong SHEN, Liwen PENG, Jingpeng LI. An improved estimation of distribution algorithm for multi-compartment electric vehicle routing problem [J]. Journal of Systems Engineering and Electronics, 2021, 32(2): 365-379. |
| Viewed | ||||||
|
Full text |
|
|||||
|
Abstract |
|
|||||
