
Journal of Systems Engineering and Electronics ›› 2025, Vol. 36 ›› Issue (6): 1595-1612.doi: 10.23919/JSEE.2025.000177
• SYSTEMS ENGINEERING • Previous Articles
Haiquan SUN1,2(
), Zhilong WANG1,2(
), Xiaoxuan HU1,2(
), Wei XIA1,2,*(
)
Received:2023-12-06
Online:2025-12-18
Published:2026-01-07
Contact:
Wei XIA
E-mail:sunhaiquan@hfut.edu.cn;wangzhilong@mail.hfut.edu.cn;xiaoxuanhu@hfut.edu.cn;xiawei@hfut.edu.cn
About author:Supported by:Haiquan SUN, Zhilong WANG, Xiaoxuan HU, Wei XIA. Hybrid genetic simulated annealing algorithm for agile Earth observation satellite scheduling considering cloud cover distribution[J]. Journal of Systems Engineering and Electronics, 2025, 36(6): 1595-1612.
Table 1
Table of symbols"
| Symbol | Definition |
| VTWs of | |
visible times of | |
| VTWs of | |
latest visible time, maximum pitch angle, minimum pitch angle and ideal roll angle of respectively. The ideal roll angle is the angle at which the centerline of the observation band passes through the task. | |
| Pitch velocity of | |
| Roll velocity of | |
| Sensor startup time of | |
| Sensor shutdown time of | |
| Sensor attitude stabilization time of | |
| Maximum storage capacity of | |
| Storage capacity required per unit time observation of | |
| OTW set of all tasks. | |
observation end time, observation pitch angle and observation roll angle of | |
| The maximum cloud cover level that |
Table 5
Orthogonal array of parameters"
| 20 | 0.75 | 0.05 | 102 | 0.75 |
| 20 | 0.80 | 0.10 | 103 | 0.80 |
| 20 | 0.85 | 0.15 | 104 | 0.85 |
| 20 | 0.90 | 0.20 | 105 | 0.90 |
| 20 | 0.95 | 0.25 | 106 | 0.95 |
| 40 | 0.75 | 0.10 | 104 | 0.90 |
| 40 | 0.80 | 0.15 | 105 | 0.95 |
| 40 | 0.85 | 0.20 | 106 | 0.75 |
| 40 | 0.90 | 0.25 | 102 | 0.80 |
| 40 | 0.95 | 0.05 | 103 | 0.85 |
| 60 | 0.75 | 0.15 | 106 | 0.80 |
| 60 | 0.80 | 0.20 | 102 | 0.85 |
| 60 | 0.85 | 0.25 | 103 | 0.90 |
| 60 | 0.90 | 0.05 | 104 | 0.95 |
| 60 | 0.95 | 0.10 | 105 | 0.75 |
| 80 | 0.75 | 0.20 | 103 | 0.95 |
| 80 | 0.80 | 0.25 | 104 | 0.75 |
| 80 | 0.85 | 0.05 | 105 | 0.80 |
| 80 | 0.90 | 0.10 | 106 | 0.85 |
| 80 | 0.95 | 0.15 | 102 | 0.90 |
| 100 | 0.75 | 0.25 | 105 | 0.85 |
| 100 | 0.80 | 0.05 | 106 | 0.90 |
| 100 | 0.85 | 0.10 | 102 | 0.95 |
| 100 | 0.90 | 0.15 | 103 | 0.75 |
| 100 | 0.95 | 0.20 | 104 | 0.80 |
Table 6
Mean and S/N values of HGSA"
| G3−G4 | G9−G10 | |||
| Mean | S/N | Mean | S/N | |
Table 7
Comparison results of the algorithms"
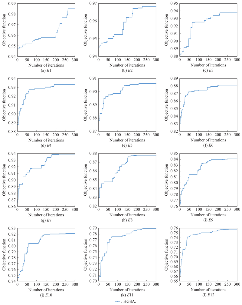
| Algorithm | Result | E1 | E2 | E3 | E4 | E5 | E6 | E7 | E8 | E9 | E10 | E11 | E12 |
| HGSA | Running time/s | 18.07 | 28.66 | 39.89 | 57.33 | 76.11 | 98.32 | 21.18 | 35.85 | 52.37 | 71.46 | 102.07 | 135.61 |
| Objective function | |||||||||||||
| Number of scheduled tasks | 144 | 187 | 223 | 266 | 294 | 319 | 134 | 165 | 193 | 226 | 247 | 266 | |
| Profit of scheduled tasks | |||||||||||||
| GA | Running time/s | 18.45 | 26.59 | 38.41 | 49.99 | 66.57 | 80.41 | 20.86 | 33.17 | 51.45 | 67.46 | 89.08 | 112.45 |
| Objective function | |||||||||||||
| Number of scheduled tasks | 142 | 183 | 220 | 257 | 291 | 307 | 129 | 158 | 188 | 219 | 239 | 257 | |
| Profit of scheduled tasks | |||||||||||||
| SA | Running time/s | 20.89 | 29.88 | 41.28 | 60.851 | 81.89 | 102.42 | 25.14 | 36.54 | 57.01 | 85.05 | 119.27 | 161.26 |
| Objective function | 0.888 | 0.858 | 0.803 | 0.767 | |||||||||
| Number of scheduled tasks | 141 | 182 | 217 | 257 | 292 | 315 | 130 | 159 | 191 | 221 | 238 | 259 | |
| Profit of scheduled tasks | |||||||||||||
| TS | Running time/s | 15.52 | 25.13 | 33.87 | 46.76 | 68.02 | 85.93 | 19.75 | 33.15 | 47.45 | 60.33 | 79.12 | 109.37 |
| Objective function | |||||||||||||
| Number of scheduled tasks | 142 | 182 | 215 | 256 | 285 | 310 | 128 | 157 | 184 | 216 | 237 | 253 | |
| Profit of scheduled tasks | |||||||||||||
| PN | Training time/h | 11.14 | 16.24 | 22.53 | 30.21 | 39.38 | 50.09 | 11.09 | 16.32 | 22.49 | 30.20 | 39.43 | 50.16 |
| Running time/s | 2.23 | 2.54 | 2.81 | 3.13 | 3.59 | 4.07 | 2.28 | 2.60 | 2.96 | 3.42 | 3.92 | 4.33 | |
| Objective function | |||||||||||||
| Number of scheduled tasks | 142 | 180 | 214 | 257 | 283 | 310 | 127 | 156 | 182 | 216 | 236 | 252 | |
| Profit of scheduled tasks |
| 1 |
LI G L, XING L N, CHEN Y W A hybrid online scheduling mechanism with revision and progressive techniques for autonomous Earth observation satellite. Acta Astronautica, 2017, 140, 308- 321.
doi: 10.1016/j.actaastro.2017.08.011 |
| 2 | BERGER J, LO N, BARKAOUI M QUEST – a new quadratic decision model for the multi-satellite scheduling problem. Computers & Operations Research, 2019, 115 (7): 104822. |
| 3 |
PENG G S, SONG G P, XING L N, et al An exact algorithm for agile earth observation satellite scheduling with time-dependent profits. Computers and Operations Research, 2020, 120, 104946.
doi: 10.1016/j.cor.2020.104946 |
| 4 | WANG X W, WU G H, XING L N, et al Agile earth observation satellite scheduling over 20 years: formulations, methods, and future directions. IEEE Systems Journal, 2020, 15 (3): 3881- 3892. |
| 5 | XU R, CHEN H P, LIANG X L, et al Priority-based constructive algorithms for scheduling agile earth observation satellites with total priority maximization. Expert Systems with Applications, 2016, 51, 195- 206. |
| 6 | LIU S, CHEN Y W, XING L N, et al Time-dependent autonomous task planning of agile imaging satellites. Journal of Intelligent & Fuzzy Systems, 2016, 31 (3): 1365- 1375. |
| 7 | CHO D H, KIM J H, CHOI H L, et al Optimization-based scheduling method for agile earth-observing satellite constellation. Journal of Aerospace Computing, Information, and Communication, 2018, 15 (11): 611- 626. |
| 8 | HE L, LIU X L, LAPORTE G, et al An improved adaptive large neighborhood search algorithm for multiple agile satellites scheduling. Computers & Operations Research, 2018, 100, 12- 25. |
| 9 |
HE L, LIU X L, CHEN Y W, et al Hierarchical scheduling for real-time agile satellite task scheduling in a dynamic environment. Advances in Space Research, 2019, 63, 897- 912.
doi: 10.1016/j.asr.2018.10.007 |
| 10 |
WANG X W, CHEN Z, HAN C Scheduling for single agile satellite, redundant targets problem using complex networks theory. Chaos, Solitons and Fractals, 2016, 83, 125- 132.
doi: 10.1016/j.chaos.2015.12.003 |
| 11 | GABREL V, MOULET A, MURAT C, et al A new single model and derived algorithms for the satellite shot planning problem using graph theory concepts. Annals of Operations Research, 1997, 69, 115- 134. |
| 12 | LEMAITRE M, VERFAILLIE G, JOUHAUD F, et al Selecting and scheduling observations of agile satellites. Aerospace Science and Technology, 2022, 6 (5): 367- 381. |
| 13 |
TANGPATTANAKUL P, JOZEFOWIEZ N, LOPEZ P A multi-objective local search heuristic for scheduling earth observations taken by an agile satellite. European Journal of Operational Research, 2015, 245, 542- 554.
doi: 10.1016/j.ejor.2015.03.011 |
| 14 |
MOK S H, JO S, BANG H C, et al Heuristic-based mission planning for an agile earth observation satellite. International Journal of Aeronautical and Space Sciences, 2019, 20, 781- 791.
doi: 10.1007/s42405-018-0105-4 |
| 15 |
HE Y M, CHEN Y W, LU J M, et al Scheduling multiple agile earth observation satellites with an edge computing framework and a constructive heuristic algorithm. Journal of Systems Architecture, 2019, 95, 55- 66.
doi: 10.1016/j.sysarc.2019.03.005 |
| 16 |
ZHAO L, WANG S, HAO Y, et al Energy-dependent mission planning for agile earth observation satellite. Journal of Aerospace Engineering, 2019, 32 (1): 4018118.
doi: 10.1061/(ASCE)AS.1943-5525.0000949 |
| 17 |
WANG S, ZHAO L, CHENG J H, et al Task scheduling and attitude planning for agile earth observation satellite with intensive tasks. Aerospace Science and Technology, 2019, 90, 23- 33.
doi: 10.1016/j.ast.2019.04.007 |
| 18 | ZHANG J W, XING L N An improved genetic algorithm for the integrated satellite imaging and data transmission scheduling problem. Computers & Operations Research, 2022, 139, 105626. |
| 19 | LIU X, LAPORTE G, CHEN Y W, et al An adaptive large neighborhood search metaheuristic for agile satellite scheduling with time-dependent transition time. Computers & Operations Research, 2017, 86, 41- 53. |
| 20 |
BIANCHESSI N, CORDEAU J F, DESROSIERS J, et al A heuristic for the multi-satellite, multi-orbit and multi-user management of Earth observation satellites. European Journal of Operational Research, 2007, 177 (2): 750- 762.
doi: 10.1016/j.ejor.2005.12.026 |
| 21 |
HABET D, VASQUEZ M, VIMONT Y Bounding the optimum for the problem of scheduling the photographs of an agile earth observing satellite. Computational Optimization and Applications, 2010, 47 (2): 307- 333.
doi: 10.1007/s10589-008-9220-7 |
| 22 |
CUI K K, XIANG J H, ZHANG Y L Mission planning optimization of video satellite for ground multi-object staring imaging. Advances in Space Research, 2018, 61 (6): 1476- 1489.
doi: 10.1016/j.asr.2017.10.056 |
| 23 | ZHOU Z B, CHEN E, WU F, et al Multi-satellite scheduling problem with marginal decreasing imaging duration: an improved adaptive ant colony algorithm. Computers & Industrial Engineering, 2023, 176, 108890. |
| 24 | WANG X W, SONG G P, LEUS R, et al, Robust earth observation satellite scheduling with uncertainty of cloud coverage. IEEE Trans. on Aerospace and Electronic Systems, 2019, 56(3): 2450−2461. |
| 25 | LIN W C, LIAO D Y, LIU C Y, et al Daily imaging scheduling of an Earth observation satellite. IEEE Trans. on Systems Man & Cybernetics Part A: Systems & Humans, 2005, 35 (2): 213- 223. |
| 26 | WANG J J, DEMEULEMEESTER E, QIU D S A pure proactive scheduling algorithm for multiple earth observation satellites under uncertainties of clouds. Computers & Operations Research, 2016, 74, 1- 13. |
| 27 | WANG J J, DEMEULEMEESTER E, HU X J, et al Exact and heuristic scheduling algorithms for multiple earth observation satellites under uncertainties of clouds. IEEE Systems Journal, 2018, 13 (3): 3556- 3567. |
| 28 |
SUN H Q, XIA W, WANG Z L, et al Agile earth observation satellite scheduling algorithm for emergency tasks based on multiple strategies. Journal of Systems Science and Systems Engineering, 2021, 30 (5): 626- 646.
doi: 10.1007/s11518-021-5506-4 |
| 29 |
SUN H Multi-objective optimization for hydraulic hybrid vehicle based on adaptive simulated annealing genetic algorithm. Engineering Applications of Artificial Intelligence, 2010, 23, 27- 33.
doi: 10.1016/j.engappai.2009.09.005 |
| 30 |
LEUNG T W, CHAN C K, TROUTT M D Application of a mixed simulated annealing-genetic algorithm heuristic for the two-dimensional orthogonal packing problem. European Journal of Operational Research, 2003, 145, 530- 542.
doi: 10.1016/S0377-2217(02)00218-7 |
| 31 |
BOULEIMEN K, LECOCQ H A new efficient simulated annealing algorithm for the resource-constrained project scheduling problem and its multiple mode version. European Journal of Operational Research, 2003, 149 (2): 268- 281.
doi: 10.1016/S0377-2217(02)00761-0 |
| 32 |
YU V F, REDI A, HIDAYAT Y A, et al A simulated annealing heuristic for the hybrid vehicle routing problem. Applied Soft Computing, 2017, 53, 119- 132.
doi: 10.1016/j.asoc.2016.12.027 |
| [1] | Huicheng Hao, Wei Jiang, and Yijun Li. Improved algorithms to plan missions for agile earth observation satellites [J]. Journal of Systems Engineering and Electronics, 2014, 25(5): 811-821. |
| Viewed | ||||||
|
Full text |
|
|||||
|
Abstract |
|
|||||